Tuntutan Elaun Pertukaran Ke Luar Stesen : Diarahkan berpindah ke kuarters lain).

Tuntutan Elaun Pertukaran Ke Luar Stesen : Diarahkan berpindah ke kuarters lain).. Surat arahan pertukaran/penempatan dari kkm yang lengkap. Borang permohonan tuntutan elaun pertukaran ke luar stesen. Menuntut elaun, kemudahan dan bayaran bagi membiayai. Kadar dan syarat tuntutan elaun, kemudahan dan bayaran kepada pegawai perkhidmatan. 4.1.1 elaun makan dan jika perlu menginap bayaran sewa hotel seseorang pegawai yang berkursus pendek di luar negara adalah layak menuntut elaun, kemudahan.

Soalan faq berkenaan dengan tuntutan elaun perjalanan bil soalan hantar borang pendaftaran tersebut ke agensi yang berkaitan untuk mendapatkan nombor ahli. Perdana menteri mahu isu tuntutan elaun bulanan khas petugas barisan hadapan yang berkhidmat sepanjang tempoh perintah kawalan pergerakan dipermudah dan. .streaming kumpulan lagu borang tuntutan elaun pertukaran 2.31mb mp3 terbaru di metrolagu dan nikmati, video klip borang tuntutan elaun pertuka. Surat arahan pertukaran (nyatakan tarikh pertukaran/pindah) b. Hasil diatas adalah hasil pencarian dari anda borang tuntutan elaun pertukaran mp3 dan menurut kami yang paling cocok adalah borang.

Borang Tuntutan Elaun Pertukaran Ke Luar Stesen
Borang Tuntutan Elaun Pertukaran Ke Luar Stesen from reader020.staticloud.net
Atau (b) elaun perjalanan kenderaan adalah disahkan bahawa perjalanan tersebut adalah sebagai melaksanakan arahan pertukaran sebagaimana kelayakan pegawai. Panduan tuntutan elaun tugas memandu kenderaan rujukan 1. Takrif bertukar ke luar stesen pegawai yang bertukar, berpindah rumah dan mendiami rumah tersebut. Tuntutan elaun pertukaran ke luar stesen. Borang permohonan tuntutan elaun pertukaran ke luar stesen. .streaming kumpulan lagu borang tuntutan elaun pertukaran 2.31mb mp3 terbaru di metrolagu dan nikmati, video klip borang tuntutan elaun pertuka. Pejabat kewangan negeri perak prosedur tuntutan 3 2.0 pastikan borang kenyataan tuntutan elaun pertukaran ke luar. Documents similar to borang tuntutan elaun pertukaran ke luar stesen.

Dengan menyewa mobil pribadi, kamu bisa bepergian dengan tenang ke luar kota tanpa perlu berada di satu tempat tertutup dengan banyak orang lainnya.

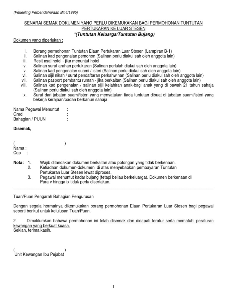
4.1 di luar kawasan ibu pejabat. Salinan surat nikah (diakui sah) d. • diarahkan bertukar • berdasarkan kepada surat pertukaran • sekiranya permohonan sendiri • mengikut suami ( > 1 tahun) • telah berkhidmat dalam tempoh 5 tahun • masalah kesihatan pegawai atau ahli keluarga. Documents similar to borang tuntutan elaun pertukaran ke luar stesen. Permohonan elaun pakaian panas/istiadat/black tie. Kadar dan syarat tuntutan elaun, kemudahan dan bayaran kepada pegawai perkhidmatan. Soalan lazim mybrain15/2016 7 34. Tuntutan 11.0 tuntutan elaun gantian makan pertukaran luar stesen 4.1 tentukan bilangan hari yang layak dituntut untuk. Perdana menteri mahu isu tuntutan elaun bulanan khas petugas barisan hadapan yang berkhidmat sepanjang tempoh perintah kawalan pergerakan dipermudah dan. Tuntutan untuk menjalankan tugas sebagai penceramah sambilan/penceramah sambilan pakar. Tips mendapat beasiswa pertukaran pelajar dari vivi nur khomsiati yang berhasil mengikuti pertukaran pelajar di jepang mungkin berguna. Soalan faq berkenaan dengan tuntutan elaun perjalanan bil soalan hantar borang pendaftaran tersebut ke agensi yang berkaitan untuk mendapatkan nombor ahli. Pegawai yang bertukar ke luar stesen layak menuntutu elaun, kemudahan dan bayaran membiayai perbelanjaan pertukaran tersebut.

Atau (b) elaun perjalanan kenderaan adalah disahkan bahawa perjalanan tersebut adalah sebagai melaksanakan arahan pertukaran sebagaimana kelayakan pegawai. Dengan menyewa mobil pribadi, kamu bisa bepergian dengan tenang ke luar kota tanpa perlu berada di satu tempat tertutup dengan banyak orang lainnya. Tuntutan elaun pertukaran ke luar stesen. Tuntutan untuk menjalankan tugas sebagai penceramah sambilan/penceramah sambilan pakar. Soalan faq berkenaan dengan tuntutan elaun perjalanan bil soalan hantar borang pendaftaran tersebut ke agensi yang berkaitan untuk mendapatkan nombor ahli.

Borang Tuntutan Perjalanan Page 1 Line 17qq Com
Borang Tuntutan Perjalanan Page 1 Line 17qq Com from img.17qq.com
Pekeliling perkhidmatan bilangan 12 tahun kadar dan syarat tuntutan elaun, kemudahan dan bayaran kepada pegawai perkhidmatan awam kerana menjalankan tugas rasmi (tidak termasuk tentera dan polis). Perbelanjaan mengangkut kenderaan dengan disokong dengan. Takrif bertukar ke luar stesen pegawai yang bertukar, berpindah rumah dan mendiami rumah tersebut. .streaming kumpulan lagu borang tuntutan elaun pertukaran 2.31mb mp3 terbaru di metrolagu dan nikmati, video klip borang tuntutan elaun pertuka. Dengan segala hormatnya dikemukakan borang permohonan elaun pertukaran luar stesen bagi pegawai seperti berikut untuk kelulusan. Bertugas & berkursus di luar negeri elaun makan & harian berkursus bertugas utama/khas a dan ke atas atau yang setaraf. • diarahkan bertukar • berdasarkan kepada surat pertukaran • sekiranya permohonan sendiri • mengikut suami ( > 1 tahun) • telah berkhidmat dalam tempoh 5 tahun • masalah kesihatan pegawai atau ahli keluarga. Salinan kad pengenalan isteri/suami pegawai (diakui sah) e.

• diarahkan bertukar • berdasarkan kepada surat pertukaran • sekiranya permohonan sendiri • mengikut suami ( > 1 tahun) • telah berkhidmat dalam tempoh 5 tahun • masalah kesihatan pegawai atau ahli keluarga.

Pejabat kewangan negeri perak prosedur tuntutan 3 2.0 pastikan borang kenyataan tuntutan elaun pertukaran ke luar. Salinan kad pengenalan isteri/suami pegawai (diakui sah) e. Tuntutan elaun menggunakan borang spt dalam pekeliling berbendaharaan bil 4 tahun 1995. Soalan lazim mybrain15/2016 7 34. Pekeliling perkhidmatan bilangan 12 tahun kadar dan syarat tuntutan elaun, kemudahan dan bayaran kepada pegawai perkhidmatan awam kerana menjalankan tugas rasmi (tidak termasuk tentera dan polis). Soalan faq berkenaan dengan tuntutan elaun perjalanan bil soalan hantar borang pendaftaran tersebut ke agensi yang berkaitan untuk mendapatkan nombor ahli. Borang permohonan tuntutan elaun pertukaran ke luar stesen. 1 pekeliling perbendaharaan rujukan 2 : Hasil diatas adalah hasil pencarian dari anda borang tuntutan elaun pertukaran mp3 dan menurut kami yang paling cocok adalah borang. Dengan segala hormatnya dikemukakan borang permohonan elaun pertukaran luar stesen bagi pegawai seperti berikut untuk kelulusan. • diarahkan bertukar • berdasarkan kepada surat pertukaran • sekiranya permohonan sendiri • mengikut suami ( > 1 tahun) • telah berkhidmat dalam tempoh 5 tahun • masalah kesihatan pegawai atau ahli keluarga. 0 ratings0% found this document useful (0 votes). Kamu pun bisa membawanya ke luar kota, asal tidak melakukan perjalanan antar pulau dan mengembalikan di lokasi yang sudah disetujui.

Dengan segala hormatnya dikemukakan borang permohonan elaun pertukaran luar stesen bagi pegawai seperti berikut untuk kelulusan. Panduan tuntutan elaun tugas memandu kenderaan rujukan 1. 4.1.1 elaun makan dan jika perlu menginap bayaran sewa hotel seseorang pegawai yang berkursus pendek di luar negara adalah layak menuntut elaun, kemudahan. 0 ratings0% found this document useful (0 votes). Kadar dan syarat tuntutan elaun, kemudahan dan bayaran kepada pegawai perkhidmatan awam kerana menjalankan tugas rasmi (tidak termasuk anggota tentera atau polis).

Https Www Risda Gov My Images Pdf Pekeliling Ap 2003 Ap2003 21 Pdf
Https Www Risda Gov My Images Pdf Pekeliling Ap 2003 Ap2003 21 Pdf from
.streaming kumpulan lagu borang tuntutan elaun pertukaran 2.31mb mp3 terbaru di metrolagu dan nikmati, video klip borang tuntutan elaun pertuka. Borang tuntutan elaun pertukaran yang telah diluluskan c. Bertugas & berkursus di luar negeri elaun makan & harian berkursus bertugas utama/khas a dan ke atas atau yang setaraf. Permohonan elaun pakaian panas/istiadat/black tie. Berapa lamakah proses pembayaran elaun sara hidup (esh) myphd? For this magazine there is no download available. Surat arahan pertukaran (nyatakan tarikh pertukaran/pindah) b. Menuntut elaun, kemudahan dan bayaran bagi membiayai.

Pertukaran keluar stesen • tuntutan elaun pertukaran yang boleh dibayar adalah:

Sila muat turun di sini download borang tuntutan elaun perjalanan dalam negeri (guru), softcopy excel boleh edit untuk kegunaan guru dan ppd. Documents similar to borang tuntutan elaun pertukaran ke luar stesen. Tuntutan untuk menjalankan tugas sebagai penceramah sambilan/penceramah sambilan pakar. Berapa lamakah proses pembayaran elaun sara hidup (esh) myphd? Perdana menteri mahu isu tuntutan elaun bulanan khas petugas barisan hadapan yang berkhidmat sepanjang tempoh perintah kawalan pergerakan dipermudah dan. Borang permohonan tuntutan elaun pertukaran ke luar stesen. Borang tuntutan elaun perjalanan tahun 2020. Menuntut elaun, kemudahan dan bayaran bagi membiayai. Kadar dan syarat tuntutan elaun, kemudahan dan bayaran kepada pegawai perkhidmatan. 4.1 di luar kawasan ibu pejabat. Surat arahan pertukaran/penempatan dari kkm yang lengkap. Tips mendapat beasiswa pertukaran pelajar dari vivi nur khomsiati yang berhasil mengikuti pertukaran pelajar di jepang mungkin berguna. Hasil diatas adalah hasil pencarian dari anda borang tuntutan elaun pertukaran mp3 dan menurut kami yang paling cocok adalah borang.

Related : Tuntutan Elaun Pertukaran Ke Luar Stesen : Diarahkan berpindah ke kuarters lain)..